Penguat
operasional ( Operational Amplifier ) adalah suatu alat ( device ) zat padat
yang berisi beberapa rangkaian di dalam suatu kemasan tunggal yang memiliki
kemampuan mengindera dan memperkuat sinyal masukan ( Input ). Op-amp dapat
digunakan untuk berbagai fungsi rangkaian elektronik dengan hanya menambahkan
sedikit komponen luar. Misalnya untuk membuat suatu rangkaian penguat.
Salah
satu penguat operasi (Op-Amp) adalah penguat penjumlah ( summing ). Penguat penjumlah adalah sebuah penguat
inverting dengan dua atau lebih input yang dihubungkan bersama-sama (jadi
satu), rangkaian summing dapat berupa non-inverting atau inverting. Tipe
inverting lebih mudah dalam perencanaan dan pembuatan daripada non-inverting.
Bila output yang diinginkan terbalik, maka sabuah inverting voltage follower
(pengikut tegangan membalik) dapat digunakan setelah penguat penjumlah (summing
Amplifier)
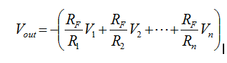
Tegangan output pada
penguat penjumlah pembalik akan terbalik dan sama dengan jumlah aljabar pada
masing-masing selisih waktu tegangan input dan tiap resistor input maupun
resistor feedback, dapat diekspresikan
Bila
semua nilai resistor luar sama, maka untuk semua resistor yang terpasang (RF =
R1 = R2 = R3 = ... Rn) tegangan output akan diperoleh dari penjumlahan aljabaar
tegangan input dengan tanda terbalik, diekspresikan dengan : Bila
semua nilai resistor luar sama, maka untuk semua resistor yang terpasang (RF =
R1 = R2 = R3 = ... Rn) tegangan output akan diperoleh dari penjumlahan aljabaar
tegangan input dengan tanda terbalik, diekspresikan dengan :
Arus
yang mengalir pada resistor feedback (Rf) merupakan penjumlahan dari arus yang
mengalir pada seluruh tahanan input. Arus input yang melewati RF yang berjumlah
nol pada input inverting, diacukan sebagai titik penjumlahan arus. Penguat
penjumalah dapat juga digunakan sebagai suatu pencampur sinya audio ( audio
signal mixer ). Penguat penjumlah harus mempunyai resistor feedback (Rf) yang
lebih besar dari resistor inputnya. Skala penjumlahan akan dibedakan oleh nilai
resistor inputnya, sehingga tegangan input akan diperkuat daripada yang
lainnya.
Penguat penjumlah
berfungsi menjumlahkan beberapa level input signal yang masuk ke operational
amplifier. Penggunanan dari operational amplifier ini
ialah sebagai penguat penjumlah sering dijumpai pada rangkaian mixer audio.
Persamaan
besarnya penguatan Gain pada masing-masing titik input tegangan adalah :
Cara
Kerja Dari suatu Penguat Penjumlah ( Summing ) Op-Amp adalah sebagai berikut;
- Tegangan input, Vin diaplikasikan pada resistor input, Rin
- Amplifier, dengan lambang segitiga, akan menguatkan tegangan input yang diterimanya kemudian membalikkan kutubnya
- Tegangan output diproduksi
- Hasil output tersebut kemudian diaplikasikan pada resistor umpan balik, Rf, yang terhubung dengan amplifier dan resistor input, Rin
- Amplifier itu mampu menguatkan nilai tegangan
- Potensial pada penghubung antar dua resistor, yang juga merupakan amplifier input, bernilai netral sementara tegangan yang tak bernilai nol akan diperkuat sinyalnya sampai outputnya mendekati batas maksimal
- Di saat yang bersamaan, amplifier membutuhkan arus input (Vin/Rin) yang nilainya sama dengan arus umpan balik (Vout/Rf) dan mendekati nol
- Nilai penguatan efektif dari suatu rangkaian yang memiliki umpan balik merupakan nilai dari rasio resistansinya, Rf/Rin
- Amplifier ternyata mampu mengontrol nilai dari setiap inputnya menggunakan sebuah resistor




No comments:
Post a Comment